第一作者:RomanSchlem
通訊作者:ArnoKwade,WolfgangG.Zeier
通訊單位:不倫瑞克理工大學、明斯特大學
相較于使用液體電解質的商用鋰離子電池,固態電池被認為能夠更好地滿足更高能量密度的需求,是未來新型電池的主要發展方向。在實現固態電池的商業化之前,須解決固態電解質和固態電池的加工和產業升級問題。對于固體電解質合成方面,傳統的固態合成法在可擴展性方面存在問題,因為這些合成通常是在石英安瓿中進行的,產量較低且需要在高溫環境下進行;而盡管溶劑合成法可以擴大生產規模,但殘留的溶劑可能會污染電解質。此外,固體電解質/活性物質復合材料的物料處理工藝同樣需要發展和擴大規模,以用于批量生產性能優異電極片。
機械球磨法是替代固態合成法及溶劑合成法的有效方法之一,可用于大規模固體電解質的合成和陰極復合材料的加工,近年來該方法日漸收到青睞,但也僅被用作為一種生產試錯方法。然而,最新研究表明,球磨的參數以及機械化學合成本身對離子導體和復合電極的結構和傳輸以及所制備的固態電池的性能具有巨大影響。
【工作簡介】
明斯特大學WolfgangG.Zeier、不倫瑞克理工大學ArnoKwade等人綜述了球磨參數對系統功率及應力能的影響,以更好地闡明機械化學球磨法的基本原理;并通過選定的實例,說明球磨參數是如何影響相形成、結構組成和由此產生的離子傳導性能以及固態電池性能的。該綜述以“Energy Storage Materials for Solid-State Batteries:Design by Mechanochemistry”為題發表在國際頂尖期刊“Advanced Energy Materials”上。
【內容詳情】
1.機械球磨的加工注意事項
1.1應力條件及能量輸入
對于研磨和機械化學反應,球磨機內的應力條件起決定性作用,球磨機的應力條件由以下因素決定:
1)應力類型:應力過程中粒子的排列(單個顆粒、顆粒層、顆粒床)、顆粒的能量輸入,包括兩個表面之間的壓縮和剪切、在一個表面上的沖擊以及流體內部的能量輸入。
2)應力強度:在一次應力作用中轉移并作用到顆粒上的能量,即應力作用的強度。其與應力粒子的體積或質量有關,是一個應力作用下的特定能量輸入和與產品相關的特征參數。
3)碰撞頻率:球磨腔內介質碰撞的頻率,它決定了整個過程中每個產品體積的應力作用的數量。
應力類型、應力強度和應力次數影響產品的質量,如產品的細度或成品率。
1.1.1應力狀態的詳細描述
由于在反應室(即磨機)中同時發生大量不同的機制,因此詳細描述能量耗散和應力的條件非常重要。文中列舉了數條公式以闡述能量輸入與碰撞頻率、平均應力能的關系,并提出可以將傳遞給產品顆粒的比能量作為評價工藝效率的特征參數,而不是使用應力數。
1.1.2研磨工藝的應力條件
對于研磨過程,應力強度反映不同微過程在碰撞區域的比能量需求,對破碎起決定作用;適當的液體研磨添加劑可以影響局部過程中的有效質量,增加了應力強度,從而提高結晶度和產品收率,甚至可以控制選擇性,使特定產品的形成;在僅以顆粒細化為目標的磨削過程中,存在一個最優應力強度,使能量需求最小。
1.1.3機械球磨機類型
有多種可用于固體材料的機械化學合成和機械熔融的球磨機,根據球磨介質可分為以下四種:翻滾球磨機、行星球磨機、振動球磨機、攪拌球磨機。根據球磨的類型,傳遞到球磨介質的能量是不同的,從而產生應用于介質的不同的加速度與慣性力。不同球磨機的屬性如表1所示。
表格1不同球磨機的典型特性參數

1.2機械球磨固相反應
非均相固相反應可以在球磨機中進行,其中機械能用于啟動反應,并創建新的反應表面和新的粒子排列。許多反應可以通過無溶劑路線或使用毒性較小的溶劑進行,從而在更少的風險下產生更可持續的過程;固體在球磨機中的直接反應通常更快,而且不需要隨后的再結晶,因此這些方法被認為是非常節能的;此外,還可以獲得一些獨特的產物,甚至可以獲得熱力學不穩定的產物,而這些產物無法通過固態合成或溶劑合成的路線獲得。
1.3熱量的產生
雖然許多機械化學反應具有負反應焓的特點,即吸熱反應,但在球磨機中總是可以觀察到熱量的產生,這可能會影響固態反應的反應動力學,即由于溫度升高而增加了離子擴散,從而加速了化學轉化。因此,產品性能會受到局部溫度的顯著影響,例如在高溫下形成主要的結晶產品,而在較低的局部溫度下形成非晶產品。因此,如果球磨機沒有得到充分的冷卻,則必須通過暫停操作來冷卻腔體內容物來中斷加工。
1.4固態電解質在行星球磨機中的加工
行星球磨機是實驗室合成固體電解質最常用的設備,其原因是實驗工藝簡單,適于實驗室操作。根據調節球磨介質之間的大小比例和摩擦,可實現球的加速運動(研磨介質在罐內飛行)或級聯運動(研磨介質相互滾動)。此外,研磨介質的尺寸和密度以及研磨介質比對工藝性能和產品質量都是決定性的。
1.5運行參數的影響
不同的操作參數會影響應力條件,即碰撞數和傳遞的應力能量,以及耗散能量的數量和分布,因而影響反應機制和反應速率,操作程序的影響顯然是復雜的。選擇合適的操作參數不僅可以控制工藝過程,而且有助于達到預期的產率,還有助于理解其內在機理。可調的工藝參數有:1)粉料的粒度和物料;2)球磨介質的含量,即介質填充比;3)粉料填充比。除此之外,公轉轉速也可以改變,但通常這個參數是恒定的。
1.6過程設計和實際考慮
設計的目標是確定最有效的參數設置,這并不一定對應于最快的處理時間,從實用的角度來看,機械球磨為工藝優化提供了各種調整的可能性。球磨介質的粒度、密度、填充比,和轉速的作用已經被了解并報道。要獲得理想的產物結果,其他的參數的研究也是很重要的;其次,知道將前驅物轉化為最終產品所需的總生成能,就可以選擇或至少研究理想的工藝參數??偟膩碚f,機械球磨法提供了多種合成和加工條件,可以看作是固態合成的工具箱,而不是具有未知合成影響的黑盒。
2.機械化學法對固體電解質的有利或不利影響
2.1一般性觀點
一些一般性觀點將有助于理解各種制備方法的不同之處并適當進行優化調整。
1)與常規高溫燒結法對比,機械化學合成能夠形成獨特的化合物,這些化合物通常是無定形或亞穩態狀態。
2)確定合成產物的化學結構是很重要的。機械合成法制備的材料通常是無定形的,常用的X射線粉末衍射法無法準確獲知產物結構,而對分布函數分析或核磁共振則有助于研究這類材料的局部結構。

圖1不同材料的機械化學和經典高溫加工或合成的比較
2.2鹵化物
機械化學合成提供了動力學控制的可能性,使形成熱動力學不穩定的材料成為可能。以Li2ZnCl4為例,由于存在兩種很難單獨獲得的多態物,因此必須仔細選擇合成參數,而通過機械化學方法能制備出單獨的尖晶石型結構,且制備的這類材料一般具有較高的離子電導率(如圖2);然而,機械化學合成本身并不總是有利的,機械球磨引入的局部結構無序對某些材料的離子電導率有負面影響。

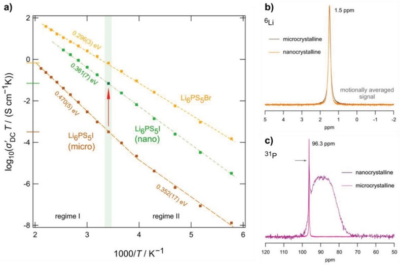
圖2Li6PS5I樣品的傳輸性能比較及該材料的6Li和31P核磁共振譜
2.3鋰-硫銀鍺礦化合物
機械化學合成法能夠提升該類材料的離子電導率,以Li6PS5I為例,由傳統固相法合成的材料的離子電導率較差,約為10-3mScm-1,但隨后在球磨機中進行120分鐘的處理可將這一值提高到0.5mScm-1,這是由于球磨后材料的無序性增加,降低了材料的活化能;但是對Li6PS5Br這一材料,球磨法則降低了其離子電導率。
2.4鈉-硫代磷酸鹽Na3PS4
對于Na3PS4合成,一般高溫煅燒法產生四方相,而機械化學法則形成無序的混亂的立方相,更有利于離子的傳輸;增加轉速或者增大球磨介質都可以在更短的時間內獲得更高的離子電導率(圖3);除此之外,機械化學研磨后的試樣粉末越細,粒度越小,就越能增強界面上的接觸行為和降低離子擴散的彎曲度,促進了顆粒的固結,并可能提高整體的電化學性能。

圖3a)盤轉速和b)磨礦介質尺寸對Na3PS4離子電導率的影響
2.5Li2S-P2S5玻璃陶瓷及雜化電解質
機械化學法有助于合成含鋰量更高的Li2S-P2S5,且可以合成亞穩態的具有局部結構的Li2S-P2S5化合物;通過優化球磨過程以及應用具有較高初始離子電導率的固體電解質,可能會實現雜化電解質的進一步改進。
2.6氧化物固體電解質
目前還沒有系統的研究直接比較球磨法對氧化物基固體電解質離子傳輸性能的影響;一些報道表明在球磨過程中使用液體緩沖層不僅影響微觀結構,而且對傳遞到前驅體上的能量有顯著影響;由于固體電解質與某些溶劑結合時的化學穩定性有限,溶液輔助球磨法是具有一定缺陷的,但這可能為新的合成方法提供方向。
3.機械化學加工對固態電池的影響
3.1一般性觀點
固態電池的加工和升級仍然是一個挑戰,而機械化學合成可以潛在地實現這樣的升級;機械化學球磨過程作為一種無溶劑路線,使涂層加工成為可能,同時克服了由于化學不穩定性而損壞材料的風險;溶劑輔助涂層后必要的干燥過程可能會改變微觀結構,導致二次顆粒出現裂紋。
3.2球磨對電解質的有害影響
對一些固態電解質,如果在球磨機中進一步處理高溫燒結合成的化合物,離子電導率將會降低(如圖4),在某些材料中,機械化學處理步驟對傳輸特性是有利的,而在其他材料中則是有害的;通過X射線衍射研究,發現在球磨機中處理結晶化合物時,會出現顯著的非晶化,從而很難判斷是只發生了非晶化還是部分分解為前驅體或中間體;此外,與濕法或低能量球磨相比,高強度的球磨可能導致更快的非晶化。

圖4高溫合成的和隨后球磨Li6PS5Cl和Li10GeP2S12的X射線衍射圖譜和離子電導率對比
3.3鋰金屬電池隔膜材料的加工
對鋰金屬電池隔膜材料的制備,球磨處理以及添加劑(如LiI,圖5)的加入都有利于離子的遷移,這與鋰離子擴散基質的致密化提高有關,其可以減少鋰離子堵塞孔隙的數量。

圖5LiI及球磨對隔膜材料及鋰硫電池性能的影響
3.4球磨工藝對陰極活性材料的影響
使用的簡單的球磨處理,可以實現陰極活性材料與導電碳添加劑的直接混合;使用球磨方法可以實現陰極材料的表面包覆;過長的機械研磨時間會使得一些正極材料經歷不利的相變,需要仔細控制工藝參數。
3.5球磨工藝對LiS陰極材料的影響
使用球磨方法制備LiS陰極復合材料(圖6)時,能夠提升電極初始放電容量及其容量保持率,這是由于在球磨樣品中,幾乎所有的Li2S都被氧化為S8,且球磨減小了S顆粒的尺寸,以確保它們足夠小,以防止電池循環過程中體積變化時發生接觸損失。

圖6不同研磨方法對LiS陰極材料的影響
3.6球磨工藝固態正極用聚合物復合粉末的影響
球磨處理可以減少處理工藝的步驟、處理時間、成本和降低環境的影響。
【結論展望】
本文綜述了球磨工藝的機械和物理性質,以及它們對固體電解質、陰極復合材料和固態電池材料制造的影響。
1)應力能量、碰撞頻率、總功率和比能量輸入以及加工時間等參數是非常重要的,對這些因素的認識有助于提高產品質量和改進制造工藝。
2)行星球磨機有助于實驗室規模的合成,但升級到制造水平是困難的。使用振動球磨機和加入攪拌介質磨有助于克服產熱、連續投料及連續操作等障礙。
3)一般來說,雖然不適用于每一種單一的固體電解質化合物,但在機械化學球磨制備過程中引入缺陷和形變會提高電化學性能。對于某些材料,則可能會對電化學性能造成損害,需要更好地研究和評價球磨處理工藝的影響。
4)詳細研究簡單的球磨參數的影響,如負載、填充比、組成比、球磨介質、球磨次數甚至液體球磨輔助技術的使用,將有助于更好地了解陰極復合材料的變化,擴大固態電池制備規模。
注:圖片非商業用途,存在侵權告知刪除!
本文地址:http://m.hfxsd.com/news/details169.html
好文章,需要你的鼓勵
郵箱:libatterychina@163.com
北京:北京市海淀區上地三街9號金隅嘉華大廈C座904
010-62980511 13661293507
山東:山東省臨沂市魯商中心A12-1503-1
0539-8601323
鋰電中國(libattery.net)版權所有
Copyright By 北京貝特互創科技有限公司
京ICP備11002324號-1
京公安網備11010802035676號
我有話說: