文章導讀
目前,絕大部分商用鋰離子電池使用石墨作為負極材料,但由于其表面容易形成(Solid ElectrolyteInterphase,SEI)膜、鋰離子擴散緩慢,且動力學性能差,其在大功率鋰離子電池中的應用受到限制。因此,研究人員開發了“零應變”的Li4Ti5O12材料,該材料具有較高工作電壓(1.55Vvs.Li+/Li)和快速充放電的能力,但克容量較低,且需要納米化才能應用。
最近TiNb2O7(TNO)材料也受到了廣泛關注,其理論容量為387.6mAhg-1,由幾個氧化還原電對(Ti4+/Ti3+、Nb5+/Nb4+、Nb4+/Nb3+)用于五電子轉移,是Li4Ti5O12的兩倍以上,與石墨相當。同時在TiNb2O7的晶體結構中Li擴散是各向異性的,決定了其高倍率能力,但其電子電導性較差。在本研究工作中,作者通過初步機械活化以及高溫燒結的方式合成TNO,并利用球磨將其與炭黑進行混合,研究了所制備樣品的電化學性能。樣品TNO代表直接合成得到的微米級產品;TNO/C代表將合成的微米級TNO與炭黑球磨得到的產品;TNO/MA代表將合成的微米級TNO直接球磨得到的產品。
實驗結果及討論
通過SEM電鏡對所制備的TNO、TNO-MA和TNO/C樣品進行微觀結構分析(圖1)。TNO顆粒具有亞微米粒徑的不規則形態,這是機械化學制備材料的典型特征??梢詤^分大小約為500nm的小初級粒子,以及較小初級粒子形成的較大微米級團聚物。TNO-MA和TNO/C的粒徑明顯小于原始TNO的粒徑,約為350nm。

圖1.(a,b)TNO、(c,d)TNO-MA和(e,f)TNO/C在不同放大倍率下的SEM圖像。
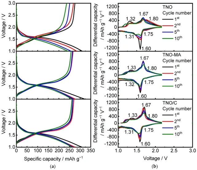
圖2顯示了樣品的充放電曲線以及相應的微分差容dQ/dV曲線。充放電曲線可分為三個區域:首先是3.0到1.6V的傾斜形狀(對應于插入約1Li),然后是1.6V(1~2Li)的小平臺,其后是從1.6V到1.0V的傾斜曲線(>2Li)。這表明鋰嵌入機制從單相變為兩相并返回單相。它們的d帶重疊表明該過程伴隨著放電過程中鈦和鈮的同時還原。在1.75~1.81V和1.61~1.66V的微分曲線上觀察到的兩個重疊的氧化還原電對歸因于Ti4+/Ti3+和Nb5+/Nb4+,而較弱的氧化還原電對在1.32-1.34V處的強峰與Nb4+/Nb3+對應。

圖2.(a)充放電曲線和(b)TNO、TNO-MA和TNO/C相應的微分差容dQ/dV曲線。
在C/10倍率下,TNO的初始放電容量為310mAhg-1;TNO-MA為322mAhg-1;TNO/C為309mAhg-1,接近理論容量(387.7mAhg-1)。TNO、TNO-MA和TNO/C的初始充電容量分別為276、267和270mAhg-1。經過50次循環,TNO的可逆容量穩定在140mAhg-1;TNO-MA的可逆容量穩定在224mAhg-1;TNO/C的可逆容量穩定在225mAhg-1;庫侖效率約為99%(圖3)。

圖3.TNO、TNO-MA、TNO/C在1.0-3.0V范圍內(a)在C/10下的循環性能以及(b)倍率性能。
研究表明,TNO/C樣品的阻抗譜顯示出與頻率無關的特性,這一現象表明它具有高達8.67×10-3S·cm-1的電子電導率。與此同時,TNO和TNO-MA的曲線呈傾斜形式。通過近似判斷它們與x軸的交點,研究人員獲得了TNO的電導率值:4.32×10-11S·cm-1,以及TNO-MA的電導率值:4.10×10-11S·cm-1。
結論
研究結果表明,碳復合材料TiNb2O7/C的電化學性能增強(在C/10下,可逆容量為250mAhg?1,庫侖效率約為99%)與導電性的改善相關,這是由于導電碳基體的形成和亞微米顆粒尺寸的均勻分布所帶來的。
文章鏈接:https://www.mdpi.com/2313-0105/8/6/52
注:圖片非商業用途,存在侵權告知刪除!
本文地址:http://m.hfxsd.com/news/details613.html
好文章,需要你的鼓勵
郵箱:libatterychina@163.com
北京:北京市海淀區上地三街9號金隅嘉華大廈C座904
010-62980511 13661293507
山東:山東省臨沂市魯商中心A12-1503-1
0539-8601323
鋰電中國(libattery.net)版權所有
Copyright By 北京貝特互創科技有限公司
京ICP備11002324號-1
京公安網備11010802035676號
我有話說: